|
|
| |
new materials for MOEMS, optoelectronics and photovoltaics (functional polymers, hybrid organic-inorganic nano-composites, transparent semiconducting oxides, graphene) and devices |
| |
| |
Materials |
| |
|
| |
Thin films for transparent electronic devices |
| |
|
p and n type - In1.64Sn0.16Zn0.2O3-d. (ZITO) transparent oxides layers. |
|
- high transparency: > 88%;
- polycrystalline structure with <222> preferential orientation;
- thickness: 120-200 nm.
Electrical conductivity vs reverse temperature
Co-operation with “A.I. Cuza” University of Iasi in ELOTRANSP project.
|
transparent polymeric nanocomposites layers of PDMS-SiO2-TiO2 by sol-gel method. |
|
Optical image of transparent polymeric nanocomposites films.
Co-operation with ICMPP, Iasi in ELOTRANSP project. |
ITO by DC sputtering and NiO by thermal oxidation of Ni layers deposited by vacuum thermal evaporation on unheated transparent substrates and on polished silicon wafers. NiO layers with thickness in the range 30-80 nm with a transmittance >60% have been obtained at 450 – 500 °C for 20-45 min. Optical and electrical characteristics have been determined by the pair of parameters, oxidation temperature and oxidation time. |
 |
Transmittance of oxidic layers obtained : a) – NiO: c) ITO; b) uniformity of ITO layer |
|
Morphology of NiO layer by AFM |
PN II project, contract no: 12128/2008, “Development of processes and devices based
on oxidic and polymeric thin layers for transparent Electronics and Optoelectronics.
(ELOTRANSP)”.
Contact person: Dr. Munizer Purica |
|
| |
Isocyanate functionalized graphene / P3HT based nanocomposites for electronic devices |
| |
We developed a method for the preparation of isocyanate functionalized graphene -regioregular poly 3-hexyl tiophene (rr-P3HT) nanocomposites is presented. Graphite oxide preparedby the Hummer's method and half blocked tetrametyl xylylene isocyanate (Et-TMXDI) are the precursors for the new obtained isocyanate functionalized graphene. Fourier transform infrared spectroscopy, UV-Vis spectroscopy, X-ray diffraction, Atomic force microscopy, Scaning electron microscopy and Raman spectroscopy were used to characterize the functionalized graphene. The isocyanate functionalized graphene facilitates the self-assembling of P3HT polymer in highly oriented nanowires.Thin films of functionalized graphene - rrP3HT nanocomposites obtained by spinning and dip coating processes were investigated and used for organic field effect transistors (OFETs). |
|
Schematic process for the preparation of isocyanate functionalized reduced graphene oxide nanocomposites
|
|
| |
IRGO improve p-p stacking of P3HT nanowires |
| |
|
AFM images (topography) of diluted chloroform/dichlorbenzene solution of
IRGO/P3HT deposited on Si substrate; P3HT nanowires have a radial
orientation with center in IRGO flake
|
-
Solution processable isocyanate functionalized graphene/P3HT nanocomposites are useful for spinning and dip coating processes.
-
IRGO/P3HT nanocomposites materials exhibit good dispersability and high storage stability.
-
The fabrication process is simple and compatible with silicon technology.
-
The IRGO improve p- p stacking of P3HT nanowires leading an improvement of mobility
increase of the mobility: 0.02 cm2V-1s-1 / P3HT based OFETs à 0.1 cm2V-1s-1 /IRGO-P3HT based OFETs
PN II project (2009-2011) -Program Ideas „Multifunctional molecular architectures for organic electronics and nanotechnology- theoretical and experimental studies”. Contract No. 617/2009 |
| |
| Nanocomposite materials with controlled optical properties for micro-optics |
| |
The nanocomposites have been obtained from commercial polymers (PMMA, PVA) and dopants: metal (Ag), metal oxide nanoparticles (TiO2, ZrO2) or organic materials (Rhodamine, Alq3) by chemical routes and sol-gel processes. The optical properties of these materials depend on the composition, metal/oxide concentration, particle size and dispersion homogeneity. Micro/nano pattering techniques based on combination of electron beam lithography and replication techniques have been developed to obtain structures with applications in micro-optics. |
|
XTEM image of PMMA-TiO2 film (dTiO2 = 5-10 nm).
TiO2 nanoparticles are uniform dispersed in the film. |
| Dispersion of the refractive index of PMMA-TiO2 film |
|
Real and imaginary refractive index of Ag – PVA film |
|
XTEM images of Ag-PVA film (d Ag = 5 - 30 nm) |
|
|
Dispersion of the refractive index of dye doped PMMA films |
Surface plasmon enhanced emission from RhB doped PMMA/Au strips at l=600 nm (excitation with l=530 nm) - application in biosensing and OLEDs |
PN II Project (2007-2010), “Development of soft lithography techniques for micro and nano-photonics” – LISOFT.
PN II project (2009-2011-Program Ideas „Multifunctional molecular architectures for organic electronics and nanotechnology- theoretical and experimental studies”. Contract No. 617/2009
Contact person: Dr. Paula Obreja |
|
|
|
| |
|
| |
|
| |
Processes |
| |
| |
|
3D Electron beam lithography in for μ- and n-optics |
| |
|
3D-profile structures with feature size in the submicron range, for applications in photonics (photonic crystals, optical waveguides, and holograms) were obtained by EBL in multi-layer resist systems. If the polymers that compose the multi-layers have different charge sensitivity and/or different dissolution rate, the remaining structure after exposure and development will have a 3D profile. T-shape and suspended structures can be obtained in by-layer systems PMMA950K /PMMA495K PMMA 950K/LOR and /PMMA950K/ PMMA35K. The exposure parameters and the development process were optimized and calibrated for each type of structures.
IMT core program Convert- project PN 09 29 02 05- cooperation with Microphysical characterization laboratory (EBL,SEM). |
 |
 |
 |
a) b)
Different shape multi-level DOEs fabricated by grey tone EBL in SU-8:
a) dose
= 0.1…1 x 6 mC/cm2; b) dose = zero…1.5 x 6 mC/cm2 (16 levels) |
SEM images of T-shape structures obtained in PMMA950k/495k systems |
|
|
Profile of a 5-level structure in PMMA 35K (AFM- contact mode). |
| |
|
|
|
Structures obtained by EBL in bi-layer system PMMA 950K/LOR:
a) SEM image of suspended PMMA waveguides;
b) SEM images and
c) AFM – 2D image of PMMA photonic crystal
(suspended PMMA membrane for with holes of 200 nm diameter and pitch of 500 nm) |
|
| |
| Replication techniques for micro and nano-optical components |
| |
This technique is versatile, inexpensive and can transfer patterns into functional materials and onto a number of surfaces. Replica molding was used to replicate:
- micro-optical components with different feature size (dots, rectangular structures, pillars, optical resonators);
- components for micro-fluidic applications;
- to generate nano-components in polymers with 30-100 nm resolution.
PN II Project (2007-2010), “Development of soft lithography techniques for micro and nano-photonics” - LISOFT.
Contact person: Dr. Paula Obreja |
|
|
Antireflective layer in epoxy resin – replica (positive copy) of a SU-8 original
|
| |
|
|
Multi-level holograms replicated in PDMS (left image) using an SU-8 original |
| |
|
|
|
SEM and optic images of the optical resonator |
Lens-shape structures ( f ~ 150 nm) in epoxy resin obtain by replication from a PMMA original |
|
|
| |
| |
|
|
|
| |
|
| |
|
| |
Devices |
| |
| |
|
| MSM photodetector based on subwavelength interdigitated electrodes |
| |
- interdigitated Schottky contacts
- fingers spacing of 80, 100, 200 nm,
- finger width of 80 nm ,
- finger length of 100 μm.
- optically active area: 0.01 mm2
- efficient and ultrafast photodetection compared with conventional MSM device
- transit time < 5 ps Þ 100 GHz bandwidth
- capacitance < 2 pF
|
|
| |
|

I-V characteristics in dark and under illumination
(optical power -500 mW , wavelength 630 nm)
|
|
|
| |
Transparent Thin Film Transistors (TTFT ) on quartz substrate using as active channel n-ZnO and as gate dielectric SiO |
| |
|
|
|
Optical image of the ZnO-TTFT
with channel length of 80 mm |
I-V characteristics of the transparent ZnO-TTFT |
| |
 |
PN II project, contract no: 12128/2008, “Development of processes and devices based
on oxidic and polymeric thin layers for transparent Electronics and Optoelectronics.
(ELOTRANSP)”
Contact persons: Dr. Munizer Purica
|
| |
TTFT structures on two inch quartz substrate, through which the underlying text is
clearly visible ( the average optical transmission in the visible spectrum is ~70 %). |
|
| |
Graphene/P3HT based OFET |
| |
Substrate (gate): high coductivity Si
Gate dielectric: SiO2 300nm-thick
Interdigitated gold electrodes for drain and source (bottom contact configuration).
Active layer : spin-coating IRGO-P3HT solution in chloroform DCB in glove box under N2 athmosphere + annealing (160oC for 15 minutes in the oven under nitrogen). |
|
 |
|
| |
Examples of plots of the square root of saturation source-drain current as a function of the gate voltage VGS for FETs based on P3HT and P3HT–IRGO nanocomposite: (a) FET with IDT electrodes, L= 8 μm, W=72.75 mm;
(b) FET with L=30 μm, W = 3mm. |
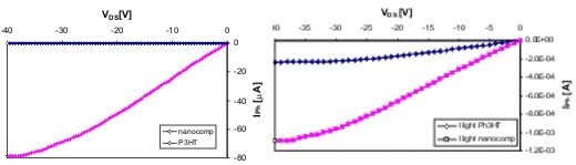
Net photocurrent (Iph= IDS(light)-IDS(dark)) under illumination((VGS=-20V): |
|
|
DUV R~9 mA/W / l= 240 nm |
White light |
PN II project (2009-2011) -Program Ideas „Multifunctional molecular architectures for organic electronics and nanotechnology- theoretical and experimental studies”. Contract No. 617/2009 |
| |
| |
Dye laser with Bragg grating on Rh6G doped PMMA |
| |
The Bragg grating with L in the range 256- 270 nm was obtained using 3D electron beam lithography in l ow contrast electronoresit (PMMA 35K).
|
 |
|
 |
Device structure :a) cross section; b) topview.
|
|
|
|
SEM (a) si AFM (b)images of the Bragg gratings patterned on the top of Rh6G-PMMA waveguides |
Image of the output light
|
IMT core program Convert- project PN 09 29 02 05- cooperation with Microphysical characterization laboratory (EBL, SEM). |
|
|
|
|
TOP |
|
|
| |
|
|
HOME |
 |
Last update:
January 19, 2012 |
|