Welcome to dualSAW website!
Dual pressure and temperature sensors based on GaN membrane supported Surface Acoustic Wave (SAW) devices

Rezultate
| 2022 | 2021 | 2020 |
Nou! Rezultate 2022
REZULTATE ESTIMATE
Etapa 3:
- Realizare structuri SAW pe membrane suspendate si pe membrane metalizate
- Caracterizare structuri
- Analiza comportarii simultane la temperatura si presiune a senzorului
- Diseminare rezultate
REZULTATE OBTINUTE
Realizarea structurilor de senzori SAW suspendate pe membrane
S-au realizat structuri SAW cu IDT-uri avand latimea digit/interdigit intre 100 nm si 150 nm pe membrane subtiri de GaN. Trei tipuri de membrane au fost corodate: (i) GaN cu grosimea de 0.7 μm, (ii) GaN/Si cu grosimea de 1.3 μm /10 μm si (iii) GaN/Si/Mo 1.3 μm/ 10 μm/ 30 nm.
Imagini de microscopie electronica, obtinute cu SEM Scanning Electron Microscope - Vega II LMU (TESCAN), ale unei structuri SAW avand wIDT = 150 nm, realizate pe membrane de GaN (aria membranei de 500 μm x 500 μm) sunt prezentate in Fig. 1.
![]() |
|
|
|
In Figura 2 este prezentata o imagine SEM cu membrana de GaN sparta intentionat pentru a identifica grosimea si pentru a pune in evidenta zona activa a IDT-urilor, suspendata pe membrana.
![]() |
Fig. 2 Fotografii SEM de detaliu cu membrana sparta de GaN (pe spate) (a) si pe fata membranei cu zona IDT-ului (b) |
Incapsularea structurilor de senzori
In etapa anterioara au fost realizate experimente in care au fost utilizate diferite materiale pentru aplicarea capsulelor (diferite tipuri de fotorezisti si adezivi neconductivi), rezultatele cele mai bune fiind obtinute cu ajutorul unui adeziv neconductiv de tip epoxy.
Capsulele sunt aplicate manual, cu ajutorul unui echipament de tip pick-and place, astfel incat o problema o constituie cantitatea de adeziv utilizata – de obicei apare un surplus care poate acoperi gaurile laterale sau poate sa afecteze structurile, dupa cum se poate observa in Fig. 3
![]() |
|
|
Testele realizate au condus la optimizarea procesului, fotografii ale structurilor incapsulate fiind prezentate in Fig. 4.
![]() |
|
|
Caracterizare cu variatia presiunii si a temperaturii
Structurile SAW au fost taiate in cipuri si apoi lipite pe un suport metalic astfel incat cavitatile care se creaza sub membrana sa fie inchise ermetic si sa ofere posibilitatea de deflexie a zonei active a rezonatorului SAW cand este aplicata o presiune exterioara. Variatia frecventei de rezonanta in functie de presiunea aplicata a fost determinata cu ajutorul unei incinte cu presiune controlata. Presiunea din incinta este monitorizata cu ajutorul unui manometru si poate fi reglata folosind doua robinete: unul pentru admisia gazului (Azot) in incinta si altul pentru a elibera gazul in atmosfera. Stabilitatea temperaturii este un criteriu important in masurarea senzorilor duali de presiune si temperatura bazati pe rezonatoare SAW, deoarece variatia inevitabila a temperaturii din cauza compresiei sau extensiei gazului cauzate de fluxul variabil de azot conduce la schimbarea frecventei de rezonanta a senzorilor. Din acest motiv temperatura din incinta a fost atent monitorizata pe parcursul masuratorilor.
Coeficientul de reflexie S11 a fost masurat initial la temperatura camerei si presiune ambianta cu un analizor vectorial de retea 37397D (Vector Network Analzyer - Anritsu) si o pereche de sonde pentru masurari direct pe placheta, model PM5 produs de Suss Microtec.
Structurile SAW realizate pe membrane de GaN/Si (1.3 µm/10 µm), avand wIDT = 150 nm au prezentat 2 frecvente de rezonanta, identificate ca fiind modurile de propagare Rayleigh (R) si Lamb (L): fR = 7.17 GHz; fL = 12.9 GHz.
![]() |
Fig.5 Structuri SAW (wIDT = 150 nm) pe membrana de GaN/Si 1.3 μm /10 μm: Coeficientul de reflexie (a); Variatia frecventei de rezonanta cu presiunea la diferite temperaturi pentru fR (b) si pentru fL (c); Variatia frecventei de rezonanta cu temperatura pentru diferite presiuni pentru fR (d) si pentru fL (e); |
Pentru acest tip de structura s-a observat o variatie liniara a frecventei de rezonanta cu presiunea si temperatura. S-au determinat valorile sensibilitatii in presiune (sP) si ale coeficientului de presiune in frecventa (PCF) (la temperaturi constante) cat si valorile sensibilitatii in temperatura (sT variaza intre -401 kHz/°C si -450 kHz/°C, in functie de temperatura) si a coeficientului de temperatura in frecventa (TCF – variaza intre -31 ppm/°C si -35 ppm/°C), la presiune constanta. S-au obtinut valori mari ale sensitivitatilor sT si sP, extrem de importante pentru rezolutia si acuratetea senzorului.
Diseminare
- Publicare lucrare stiintifica in revista IEEE Access in care este folosita metoda de simulare cuplata FEM+COM (prezentata in etapele 1 si 2) pentru structuri SAW folosite ca senzori de temperatura:
George Boldeiu, George E. Ponchak, Alexandra Nicoloiu, Claudia Nastase, Ioana Zdru, Adrian Dinescu, Alexandru Müller, Investigation of Temperature Sensing Capabilities of GaN/SiC and GaN/Sapphire Surface Acoustic Wave Devices, IEEE Access, vol. 10, pp. 741-752, 2022, doi: 10.1109/ACCESS.2021.3137908. (Factor de impact: 3.476)
- Lucrare acceptata la Conferinta IEEE International Semiconductor Conference, ce va avea loc in perioada 12 – 14 Octombrie 2022:
D. Vasilache, A. Nicoloiu, G. Boldeiu, I. Zdru, A. Kostopoulos, M. Nedelcu, A. Stavrinidis, C. Nastase, G. Stavrinidis, G. Konstantinidis, A. Dinescu, A. Müller, Development of high frequency SAW devices devoted for pressure sensing, acceptata la IEEE CAS 2022.
__________________
REZULTATE ESTIMATE
Etapa 2:
- Simularea comportarii la presiune si temperatura a dispozitivelor SAW suspendate pe membrana si pe membrana metalizate
- Procesare dispozitivele SAW suspendate pe membrane
- Teste incapsulare structuri SAW suspendate pe membrana
- Caracterizarea si analiza sensitivitatii structurilor SAW in presiune
- Diseminare rezultate
REZULTATE OBTINUTE
Simularea comportarii la presiune si temperatura a dispozitivelor SAW suspendate pe membrana
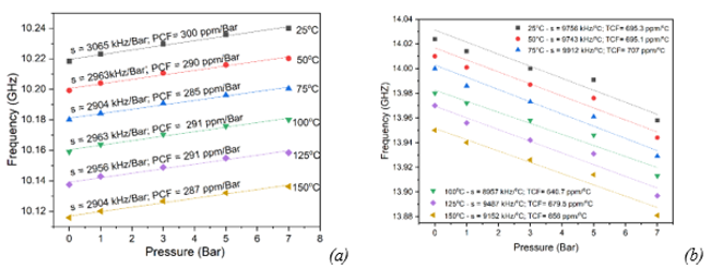
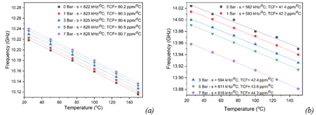
Variatia frecventei de rezonanta in functie de presiune (in domeniul 1 – 7 Bari), la diferite temperaturi (in intervalul 25 – 150 °C) a fost determinata din simulari cuplate (FEM+COM) pentru ambele moduri de propagare (Rayleigh si Lamb). Acest tip de simulare este introdus pentru prima data pentru structuri SAW suspendate pe membrane. Variatia frecventei de rezonanta cu presiunea la diferite temperaturi (Fig. 1), respectiv cu temperatura la diferite presiuni (Fig. 2) se aproximeaza liniar si confirma posibilitatea ca acest tip de structura sa fie un senzor dual, permitand determinarea ambilor parametri (temperatura si presiune) in acelasi timp.
![]() |
![]() |
Fig. 2 Variatia frecventei de rezonanta extrasa din simularea cuplata FEM+COM in functie de temperatura la diferite presiuni pentru modul Rayleigh (a) si pentru modul Lamb (b) |
Realizarea structurilor de senzori SAW suspendate pe membrane
S-au realizat primele structuri SAW cu IDT-uri avand latimea digit/interdigit de 100 nm si 120 nm pe membrane subtiri de GaN. Trei tipuri de membrane au fost corodate: (i) GaN cu grosimea de 1.3 μm, (ii) GaN/Si cu grosimea de 1.3 μm /10 μm si (iii) GaN/Si/Mo 3 μm/ 10 μm/ 30 nm. Fluxul tehnologic consta in 4 etape principale: (1) realizarea liniei CPW – padurile RF; (2) realizarea zonei active a traductorului interdigitat (IDT) prin nanolitografie, latimea dintilor si distanta dintre ei fiind de 100 nm pentru un tip de structuri, si 120 nm pentru cel de al doilea tip; (3) aducerea metalizarii liniei CPW la grosimea necesara masuratorilor in RF si pentru a asigura un contact bun cu zona IDT-urilor; (4) realizarea membranelor (500 x 500 µm) sub zona IDT-urilor prin corodarea uscata (de tip reactive Ion Etching – RIE) a substratului de siliciu.
Fotografii SEM cu structura SAW avand wIDT = 100 nm pe membrana de GaN/Si sunt prezentate in Figura 3.
![]() |
Fig. 3 Fotografii SEM cu structuri SAW; (a) cip cu structura SAW de 100 nm, zona care defineste membrana propriu-zisa este marcata; (b) detaliu cu zona IDT-ului si a reflectoarelor; (c) detaliu cu compozitia membranei de GaN/Si |
Incapsularea structurilor de senzori
Incapsularea avuta in vedere aici a fost de nivel 0, care sa asigure structurilor o protectie minima fata de mediul ambient si sa permita in acelasi timp masuratorile de temperatura si presiune. Capsulele sunt realizate prin corodarea uscata a plachetelor de siliciu. Fotografiile SEM prezentate in Fig. 4 arata imbinarea celor doua componente utilizand fotorezist AZ 4500 (Fig. 4a) si adeziv epoxy (Fig. 4b).
![]() |
Fig. 4: Fotografii SEM ale unor structuri incapsulate cu: fotorezist AZ 4500 (a), adeziv de tip epoxy (b) |
Caracterizare la presiune
Structurile SAW au fost taiate in cipuri si apoi lipite pe un suport metalic astfel incat cavitatile care se creaza sub membrana sa fie inchise ermetic (Fig. 5a) si sa ofere posibilitatea de deflexie a zonei active a rezonatorului SAW cand este aplicata o presiune exterioara. Coeficientul de reflexie S11 a fost masurat initial la temperatura camerei si presiune ambianta cu un analizor vectorial de retea 37397D (Vector Network Analzyer - Anritsu) si o pereche de sonde pentru masurari direct pe placheta, model PM5 produs de Suss Microtec. Au fost identificate doua frecvente de rezonanta (notate cu f1 si f2) (Fig. 5b). Dispozitivele au frecvente de rezonanta > 10 GHz. Variatia frecventei de rezonanta in functie de presiunea aplicata a fost determinata cu ajutorul unei incinte cu presiune controlata. Simularile sunt validate prin determinarea coeficientul de presiune in frecventa din masuratori. Valoarea PCF la temperatura camerei (216 ppm/Bar) pentru modul Rayleigh este foarte apropiata de valoarea determinata din simulari (PCF = 300 ppm/Bar).
![]() |
Fig.5 Structuri SAW (wIDT = 100 nm) pe membrana de GaN 1.3 μm montate pe un suport metalic (a); Coeficientul de reflexie (b); Variatia frecventei de rezonanta cu presiunea pentru f1 (c) |
Diseminare
O lucrare stiintifica in care este folosita metoda de simulare cuplata FEM+COM pentru structuri SAW folosite ca senzori de temperatura este in proces de evaluare la revista IEEE Access:
George Boldeiu, George E. Ponchak, Alexandra Nicoloiu, Claudia Nastase, Ioana Zdru, Adrian Dinescu, Alexandru Müller, Investigation of Temperature Sensing Capabilities of GaN/SiC and GaN/Sapphire Surface Acoustic Wave Devices, in review la IEEE Access.
_________________
lucrare ISI:
1. Alexandra Nicoloiu, George E. Stan, Claudia Nastase, George Boldeiu, Cristina Besleaga, Adrian Dinescu, Alexandru Müller, "The behaviour of gold metallized AlN/Si and AlN/glass based SAW structures as temperature sensors," in IEEE Transactions On Ultrasonics, Ferroelectrics, And Frequency Control, vol. 68, no. 5, May 2021, DOI: 10.1109/TUFFC.2020.3037789
REZULTATE ESTIMATE
Etapa 1: Simulare structuri SAW suspendate pe membrane (August – Decembrie 2020)
- Simularea electromecanica a structurilor SAW suspendate pe membrane de GaN si GaN/Si
-
Simularea cuplata FEM+COM a structurilor SAW pe membrane la temperatura camerei si presiune atmosferica
-
Simularea cuplata FEM+COM a structurilor SAW pe membrane metalizate la temperatura camerei si presiune atmosferica
-
Implementare pagina web
REZULTATE OBTINUTE
Simularea electromecanică a structurilor SAW suspendate pe membrane de GaN cu metalizare pe spate
![]() |
![]() |
Fig.1 Forma de unda corespunzatoare modului de propagare Rayleigh pentru structura SAW pe membrană de GaN (1.3 μm), cu metalizare pe spate de Au (50 nm); wIDT=150 nm; (a) Modul antisimetric Rayleigh, f+ = 5.049 GHz; (b) Modul simetric Rayleigh, f- = 6.52 GHz |
|
![]() |
Fig.2 Forma de unda corespunzatoare modului de propagare simetric Lamb (10.99 GHz) pentru structura SAW pe membrană de GaN (1.3 μm), metalizata pe spate cu 50 nm Au; IDT w=150 nm; hAu=50 nm |
Simularea cuplata FEM+COM a structurilor SAW la temperatura camerei si presiune atmosferica
A fost implementata o noua metoda de simulare, prin cuplarea metodelor FEM (Finite Element Method, COMSOL) cu „Coupling of Modes” pentru a extrage o admitanta optima pentru structurile SAW realizate pe membrane de GaN si GaN/Si. Aceasta metoda a fost pentru prima data prezentata in lucrarea publicata in IEEE Transactions on Ultrasonics, Ferroelectrics, and Frequency Control pentru senzorii de temperatura SAW realizati pe substrat de AlN/Si si AlN/Glass. In modelul cuplat FEM-COM, reflectivitatea si atenuarea sunt luate in considerare si raspunsul este imbunatatit. In cadrul acestui proiect metoda este adaptata pentru senzorii duali de presiune si temperatura SAW pe membrane subtiri de GaN.
![]() |
Fig.3 Schematica modului in care se realizeaza simularea cuplata FEM+COM [*] |
Comparatii intre admitanta extrasa din simularea FEM (COMSOL) si cea extrasa din simularea cuplata pentru cele 3 tipuri de structuri SAW sunt prezentate mai jos. Se observa o imbunatatire de pana la 3 ordine de marime a amplitudinii extrase din simularea cuplata fata de simularea FEM.
![]() |
![]() |
Fig.4 Comparatie intre partea reala a admitantei extrasa din simularea FEM (negru) si simularea cuplata FEM+COM (rosu) pentru structura SAW pe membrana de GaN (1.3 μm) metalizata pe spate (Au, 50 nm): (a) modul de propagare Rayleigh; (b) modul Lamb. |
|


















