Obiectiv 1 Dispozitive nanoelectronice, fotonice si micrositeme
- PN 18080101 - Microstructuri cu straturi subtiri piezoelectrice, dielectrice si feroelectrice pentru aplicatii in gama 1-100 GHz [...]
- PN 18080102 - Dezvoltarea de structuri MEMS si microfluidice integrabile in platforme de senzori [...]
- PN 18080103 - Elemente optice difractive multinivel cu functionalitate avansata [...]
Obiectiv 2 Tehnologii pentru dispozitive si nanomateriale pe baza de carbon
- PN 18080201 - Procese si investigatii experimentale pentru realizarea de senzori electrochimici si de mediu, pe baza de materiale functionale nanocarbonice [...]
- PN 18080202 - Dispozitive si circuite nanoelectronice avansate bazate pe materiale de grosime atomica [...]
Obiectiv 3 – Materiale, componente si sisteme pentru aplicatii biomedicale
- PN 18080301 – Platforme pentru senzori bio-chimici cu aplicatii in medicina si monitorizarea mediului [...]
Obiectiv 1 Dispozitive nanoelectronice, fotonice si micrositeme
- PN 18080101 - Microstructuri cu straturi subtiri piezoelectrice, dielectrice si feroelectrice pentru aplicatii in gama 1-100 GHz
Scop: Proiectarea si simularea capacitorilor verticali in ghid de unda coplanar cu strat subtire feroelectric pe baza de hafniu, caracterizarea in microunde a straturilor feroelectrice subtiri, fabricarea si caracterizarea experimentala a capacitorilor MIM verticali cu strat subtire feroelectric pe baza de hafniu
- Proiectarea, fabricarea si caracterizarea de microstructuri radiante cu polarizare circulara realizate pe membrane dielectrice subtiri
- Senzori de temperatura pe membrane subtiri de GaN si GaN/Si. Analiza modurilor de propagare si a sensibiltatii.
Rezultate: 1 articol ISI, 6 lucrari la conferinte, 1 tehnologie, 4 metode simulare si caracterizare.
- 1 articol in revista ISI
- 4 articole in conferinta internationala
- 1 metoda optimizata de simulare electromagnetica a unei structuri cu hafniu feroelectric foarte subtire (6-10 nm) pe substrat gros de siliciu de inalta rezistivitate
- 1 metoda noua de caracterizare in curent continuu/microunde prin aplicarea unui camp electric de polarizare orizontal sau vertical, pentru determinarea gamei de variatie a caracteristicilor electrice ale materialului feroelectric la frecvente inalte
- 1 proces tehnologic optimizat pentru depunerea uniforma de hafniu feroelectric pe o placheta de siliciu de inalta rezistivitate prin tehnica de Atomic Layer Deposition (ALD)
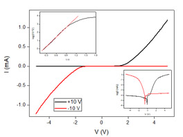
- 2 dispozitive pe baza de HfZrO feroelectric: un capacitor vertical cu strat subtire de HfZrO feroelectric (figuri 1-2); un defazor in tehnologie planara pe strat subtire de HfZrO ferroelectric (figuri 3-4).
 |
 |
Fig. 1: Imaginea optica a electrozilor de sus ai capacitorilor Hf0.45Zr0.55O1.76. |
Fig. 2: Caracteristica I-V a dispozitivului MIM feroelectric. Insert superior: similaritatea curbelor I-V cu mecanismul de tunelare de tip Fowler-Nordheim. Insert inferior: caracteristica I-V in scara semi-logaritmica. |
 |
 |
Fig. 3: Imaginea SEM a defazorului pe baza de HfZrO feroelectric. |
Fig. 4: Capacitatea circuitului echivalent functie de frecventa si tensiunea aplicata. |
Proiectarea, fabricarea si caracterizarea de microstructuri radiante cu polarizare circulara realizate pe membrane dielectrice subtiri (in lucru)
- modele electromagnetice 3D parametrice dedicate antenelor de unde milimetrice cu polarizare circulară
- microstructuri radiante fabricate prin microprelucrarea siliciului de înaltă rezistivitate
- sistem de caracterizare a antenelor cu polarizare circulara
Lista de lucrari:
Articole ISI
1. M. Dragoman, M. Modreanu, I. Povey, S. Iordanescu, M. Aldrigo, A. Dinescu, D. Vasilache, C. Romanitan, “2.55 GHz miniaturised phased antenna array based on 7 nm-thick HfxZr1−xO2 ferroelectrics,” Electronics Letters, vol. 54, no. 8, pp. 469-470, Apr. 2018 IF: 1.232
Lucrari la conferinte
1. M. Dragoman, M. Aldrigo, S. Iordanescu, M. Modreanu, I. Povey, D. Vasilache, A. Dinescu, and C. Romanitan, “Low-Voltage Phase Shifters Based on HfxZr1-xO2 Ferroelectrics Integrated with Phased Antenna Arrays,” Proc. of the 48th European Microwave Conference (EuMW), pp. 950-953, Sep. 2018
2.
Dan Neculoiu, Alina-Cristina Bunea, Andrei Avram, "Broadside 60 GHz Antenna with two Quasi-Yagi Radiators with Corrugated Directors and Reflector”, IEEE 30th Asia-Pacific Microwave Conference APMC-2018, Kyoto, Japan, 6-9 November 2018
3. Alina-Cristina Bunea, Dan Neculoiu, Andrei Avram, Mihai Iovea, “Wideband Micromachined Antenna for W-band Applications”, IEEE 7th Asia-Pacific Conference on Antennas and Propagation, Auckland, New Zealand, 5 – 8 August 2018, pp. 480-481
4.
Dan Neculoiu, Alina-Cristina Bunea, Andrei Avram, “Low-Profile Membrane Suspended Antenna for 60 GHz Applications”, IEEE 7th Asia-Pacific Conference on Antennas and Propagation, Auckland, New Zealand, 5 – 8 August 2018, pp. 478-479
5.
A. Müller, A. Nicoloiu, A. Dinescu, A. Stavrinidis, I. Zdru, G. Konstantinidis, The influence of metallization on resonance frequency and temperature sensitivity of GHz operating III-Nitride SAW based sensor structures, International Microwave Symposium 2018, 10-15 June 2018, Philadelphia, USA, session WEIF: Interactive Forum #2 (rejection rate: 51%) pp938-941
6.
A. Nicoloiu, A. Muller, I. Zdru, D. Vasilache, G. Stan, C. Nastase, V. Dumitru, A. Dinescu, AlN/Si based SAW resonators for very high sensitivity temperature sensors, IEEE International Ultrasonics Symposium, 22-25 October 2018, Kobe, Japan
- PN 18080102 - Dezvoltarea de structuri MEMS si microfluidice integrabile in platforme de senzori
Scop: Dezvoltarea de structuri micro-electro-mecanice (MEMS) si microfluidice prin proiectarea de sisteme microfluidice cu electrozi transparenti, rezonatori piezoelectrici pe substrat de siliciu pentru senzori de fluide, actuatori cu actionare electro-termica, structuri cu materiale 2D si senzori MEMS de masurare a tensiunii electrice si curentului electric pentru linii de inalta tensiune in scopul integrarii in platforme de senzori inteligenti.
Rezultate: 5 lucrari la conferinte; 5 modele numerice structuri MEMS; 4 proiecte; 3 tehnologii
Modele numerice pentru structuri MEMS si microfluidice
Sisteme microfluidice cu componente conductoare transparente
Rezonator piezoelectric pe substrat de siliciu
Actuatori electro-termici cu miscari in afara planului pentru dispozitive de comutatie
Actuatori electro-termici cu miscari in afara planului pentru micropensete
Model computational la nivel atomistic asupra proprietatilor structurale si electronice ale unor structuri complexe de silicena depusa pe un substrat de Si (100) hidrogenat
Specificatii de proiectare
Rezonator piezoelectric pentru spectroscopie acustica in fluide
Structuri MEMS cu deplasari verticale pentru dispozitive de comutatie
Structuri MEMS cu deplasari verticale pentru micropensete
Senzor integrat de masura a tensiunii electrice si a curentului electric pe liniile de inalta tensiune
Tehnologii
Tehnologie de realizare structuri de microconsola din polimer de SU-8 si rezistente din aur
Procese tehnologice pentru obtinerea de straturi ultrasubtiri de Si pe substraturi de Si de tip p si n functionalizate cu hidrogen
Procese de obtinere filme conductive transparente din oxid de zinc pur si dopat pentru aplicatii microfluidice
Comunicari stiintifice
- Marius Pustan, Corina Birleanu, Cristian Dudescu, Raluca Müller, Angela Baracu, Integrated thermally actuated MEMS switch with the signal line for the out-of-plane actuation, Proc. DTIP 2018, pag. 91-94.
- Rodica-Cristina Voicu, Cătălin Tibeica, Raluca Müller, A polymeric microtweezer with integrated force/displacement sensor, 2018 Symposium on Design, Test, Integration & Packaging of MEMS and MOEMS (DTIP), 22-25 May 2018, Rome, Italy, DOI: 10.1109/DTIP.2018.8394238
- T. Sandu, O. T. Nedelcu, C.Tibeica, AC-electrokinetic behavior of biological cells beyond the dipole approximation, The 9th edition of the International Conference Advanced Topics in Optoelectronics, Microelectronics and Nanotechnologies ATOM-N 2018, 23 - 26 August 2018, Constanta, Romania
- Titus Sandu, Catalin Tibeica, Oana T. Nedelcu, Mihai Gologanu, Analytical analysis of the plasmonic enhancement of resonance energy transfer in the vicinity of a spherical nanoparticle, 41th IEEE International Semiconductor Conference – CAS, Sinaia, Romania, Proceedings, pp. 137 – 140 (2018).
- A.Baracu, R. Muller, R.C.Voicu, M. Pustan, C. Birleanu, A. Dinescu, Manufacture and investigation of a vertical MEMS switch, Proc. of IEEE International Semiconductor Coonference CAS 2018, pp.299-302, 2018
Modelarea comportamentului electric (COMSOL Multiphysics) pentru sistem microfluidic cu electrozi transparenti:
 |
Variatia in canal, pe directie transversala in vecinatatea electrozilor, a componentei electrice din dielectroforeza [ pentru conductivitate maxima a lichidului (σCmax =1 S/m) si conductivitate variabila a electrozilor (σE intre 104 – 4.1x107 S/m) |
 |
| Cartacteristica I-V a probei de ZnO dopat cu aluminiu 1.5% utilizat ca material conductiv transparent pentru manipulare particule prin dielectroforeza |
Modelare numerica (COMSOL Multiphysics) pentru rezonator piezoelectric pe substrat de siliciu:
- PN 18080103 - Elemente optice difractive multinivel cu functionalitate avansata
Scop: Fabricarea de elemente optice asferice de o calitate optica superioara cu functionalitati avansate in comunicatii optice si procesarea semnalului optic prin metode de microfabricatie.
Rezultate: 2 procese tehnologice, 4 metode proiectare/simulare, 3 lucrarti conferinte, 1 articol ISI
Procese tehnolgice noi si/sau optimizate 2: Corodare in RIE si umeda a sticlei de tip borosilicat si sticla oxid de siciliu topit.
Tehnici de simulare/modelare/proiectare noi tipuri de structuri 4: 2 coduri MATLAB pentru simularea fasciculelor Bessel, 2 metode de proiectare axicoane (generare masti fotolitografice structuri in CleWin, generare masti folosind cod MATLAB si BITMAP Import)
 |
| Element optic de tip axicon de ordin superior cu 32 nivele de ordin m=-1 |
Lucrari la conferinte 3:
- “Optical beam shaper for the generation of two superimposed orbital angular momentum states”, Rebeca Tudor, Cristian Kusko, Mihai Kusko, Andrei Avram, Catalin Parvulescu, European Optical Society Biennial Meeting (EOSAM) 2018, 8-12 Octombrie 2018, Delft, Olanda.
- "Design and fabrication of a fractional optical vortex by electron beam lithography" Mihai Kusko, Roxana Tomescu, Cristian Kusko, International Semiconductor Conference CAS 2018, 2018, 10-12 octombrie 2018, Sinaia, Romania
- D. Cristea, P. Obreja, A.C.Obreja, R. Tomescu, PbS Quantum Dots and Nanocomposites for Solution Processed Broaband Photodetectors- lucrare invitata- International Conference on Photonics Research, 8-12 Octombrie 2018 , Turcia
Articole ISI:
- P. Obreja, D. Cristea, A. Dinescu, C.Romaniţan, Influence of surface substrates on the properties of ZnO nanowires synthesized by hydrothermal method, Applied Surface Science, Volume 463, 1 January 2019, Pages 1117-1123 IF: 4.439
Obiectiv 2 Tehnologii pentru dispozitive si nanomateriale pe baza de carbon
- PN 18080201 - Procese si investigatii experimentale pentru realizarea de senzori electrochimici si de mediu, pe baza de materiale functionale nanocarbonice
Scop: Proiectul își propune dezvoltarea unor procese de sinteză și nanostructurare pentru obținerea de materiale cu proprietăți funcționale (nanocompozite sub formă de filme subțiri, pulberi) specifice cerințelor aplicative pentru senzori de electrochimică (pentru detecția acidului cafeic) și de mediu (umiditate, etanol), precum și realizarea unor structuri test pe baza acestora.
Rezultate: 2 articole ISI, 1 articol BDI, 2 tehnolgii realiz.senzori; 4 metode tehnologicce; 8 propuneri brevete senzori; 9 lucrari la conferinte;
- Tehnologie de realizare pulberi nanocompozite binare de ZnO-grafenă din precursori apoși de zinc și grafenă prin metoda sonochimică la intensități mari ale radiației acustice (Fig. 1).
- Tehnologie de realizare pulberi nanocompozite binare de ZnO-grafenă din precursori apoși de zinc și oxid de grafenă prin metoda sonochimică la intensități mari ale radiației acustice și în care reducerea oxidului de grafenă s-a făcut în timpul sintezei sonochimice (Fig. 2)
 |
| Fig. 1. Spectre RAMAN in diverse puncte de culegere pentru pulberi nanocompozite binare de ZnO-grafenă, după tratament termic în azot la 450°C cu sinteza sonochimică efectuată la pH=14. Se observa benzile corespunzatoare grafenei si ZnO. |
 |
| Fig. 2. Comparație Spectre RAMAN pentru ZnO (curbele 1-3) și ZnO-grafenă din oxid de grafenă redus în procesul de sonochimie. |
- Procedeu de nanostructurare pulberi de nanocompozite binare de ZnO-grafenă din precursori apoși de zinc-și grafenă prin sinteză sonochimică efectuată fără adăugare de surfactanți (Fig. 3).
 |
| Fig. 3. Imagine SEM a pulberii nanostructurate de ZnO-grafenă (nano-flowers) obținută prin sonochimie fără adăugare de surfactanți în timpul sintezei sonochimice. |
- Tehnologie preliminară de realizare a senzorilor chemirezistivi cu strat senzitiv de etanol la temperatura camerei folosind pulberi nanocompozite de ZnO-nanohornuri (Fig. 4).
 |
| Fig. 4 . Senzor chemirezistiv de detecție etanol la temperatura camerei pe bază de strat senzitiv preparat din pulberi de ZnO-nanohornuri cu ZnO obținut prin sonochimie și nanohornuri comerciale. Stratul senzitiv s-a depus în interiorul dreptunghiului desenat pe strucura interdigitată. |
- Realizare si caracterizare a unui senzor electrochimic pe baza de grafena nanocristalina (NCG), utilizat pentru detectia acidului cafeic din extracte de fructe continand antioxidanti (Fig. 5).
 |
| Fig. 5. Domeniu liniar de lucru al senzorului electrochimic pentru acidul cafeic. |
- Proces de obtinere filme de grafena nanocristalina cu morfologie poroasa (Fig. 6)
 |
| Fig. 6. Grafena nanocristalina cu morfologie poroasa (grafena verticala) |
Lucrari si patente
Lucrari ISI:
- Antonio Radoi, Camelia Albu, PhD, Sandra A. V. Eremia, Monica Lucia Veca, Andrei Avram, Radu Cristian Popa, Cristina Pachiu, Cosmin Romanitan, Mihaela Kusko, Raluca Gavrila, Nano-crystalline graphite film on SiO2: electrochemistry and electro-analytical application, Sensors & Actuators: B. Chemical (in evaluare).
- Bogdan Catalin Serban, Octavian Buiu, Cornel Cobianu, Mihai Brezeanu, Mihai Bumbac, Cristina Mihaela Nicolescu, Nanostructured semiconducting metal oxides for ammonia sensors. A novel HSAB sensing paradigm, Acta Chimica Slovenica, 2018, 65. IF: 1.104
- B. C. Serban, O. Buiu, M. Brezeanu, O. Ionescu, C. Cobianu “Nanostructured semiconducting metal oxides for ethanol gas sensing. A possible HSAB interpretation”, autori, in Romanian Journal of Information and Science Technology, Volume 21, No. 1, 2018, pp. 93-96, Paper no. 583/2018. IF: 0.288
Capitol de carte:
- C. Cobianu, B. Serban, O. Buiu, Towards Microscale Application-Specific Solid-State Oxygen Sensors: From Electrochemical to Optical Principles, in “Advances in Micro – and Nanoelectronics” (eds. D. Dascalu, A. Wild, S. Cristoloveanu), Editura Academiei Romane, ISBN 978-973- 27-2982-3.
Lucrari non-ISI:
- Bogdan-Catalin Serban, Marius Bumbac, Octavian Buiu, Cornel Cobianu, Mihai Brezeanu, Cristina Nicolescu Carbon nanohorns and their nanocomposites: synthesis, properties and applications: a concise review., Annals of the Academy of Romanian Scientists, Series on Science and Technology of Information, Vol.3, No.2, 2018 (acceptata pentru publicare).
Conferinte:
- L. Monica Veca, A. Terec, C. Banciu, F. Nastase, I. Mihalache, R. Popa, A. Dinescu, Graphene Nanostructures Perspectives for Optoelectronic Applications, BIT's 7th World Congress of Advanced Materials 2018, 13-15 Septembrie 2018, Xiamen, China.
- C. Cobianu, B. Șerban, O. Buiu, O. Ionescu, “Progrese in Tehnologia Senzorilor de Oxigen pentru Aplicații Bio-Medicale (Technological progresses for the oxygen sensors for bio – medical applications)”, oral presentation at the spring 2018 session of the Academy of Sciences, AOSR, Bucharest, 30 March 2018.
- Cornel Cobianu, Florin Nastase, Niculae Dumbravescu, Octavian Buiu, Adrian Albu, Bogdan Serban, Mihai Danila, Cosmin Romanitan, Octavian Ionescu, “Electrical properties of as-deposited ALD HfO2 films related to silicon surface state”, Proceed. International Semiconductor Conference CAS 2018, pp. 69 – 73, Sinaia, October 10 -12, 2018.
- Cornel Cobianu, Florin Nastase, Niculae Dumbravescu, Octavian Buiu, Bogdan Serban, Mihai Danila, Raluca Gavrila, Octavian Ionescu, Cosmin Romanitan, “Effect of Silicon Surface Cleaning on Reliability of ALD HfO2 films Deposited from Tetrakis(dimethylamino)Hafnium (TDMAH)” p. 69 in Book of Abstracts - WOCSDICE 2018 – The 42nd Workshop on Compound Semiconductor Devices and Integrated Circuits, Bucharest, Romania, 14 – 16 May 2018.
- B. C. Serban, O. Buiu, O. Ionescu, C. Cobianu, M. Brezeanu, “Semiconducting metal oxides for ammonia and aliphatic amines gas sensing. A novel HSAB interaction paradigm’, p. 71 in Book of Abstracts - WOCSDICE 2018 – The 42nd Workshop on Compound Semiconductor Devices and Integrated Circuits - Bucharest, Romania, 14-16 May 2018.
- Maria-Roxana Marinescu, Marioara Avram, Octavian Buiu, Cornel Cobianu, Bogdan Șerban, Octavian Ionescu, Nicolae Dumbrăvescu, Andrei Avram, “Micro Devices For Personalized Healthcare”, 1st International Conference on Emerging Technologies in Materials Engineering EmergeMAT and 4th International Workshop on Materials under Extreme Conditions SUPERMAT, 14th – 16th November 2018
- T. Sandu, O. T. Nedelcu, C. Tibeica, AC-electrokinetic behavior of biological cells beyond the dipole approximation, International Conference "Advanced Topics in Optoelectronics, Microelectronics and Nanotechnologies" ATOM-N 2018, 23 - 26 August 2018, Constanta, Romania (va fi publicata in SPIE).
- Titus Sandu, Catalin Tibeica, Oana T. Nedelcu, Mihai Gologanu, Analytical analysis of the plasmonic enhancement of resonance energy transfer in the vicinity of a spherical nanoparticle, 41th IEEE International Semiconductor Conference – CAS, Sinaia, Romania, Proceedings, pp. 137 – 140 (2018).
Aplicatii brevete:
1. Bogdan-Catalin Serban, Octavian Buiu, Cornel Cobianu, NicolaeVarachiu, Octavian Ionescu, Dragos Varsescu, Viorel Avramescu, Roxana Marinescu, Nicolae Dumbravescu, Senzor chemirezistiv de umiditate si procedeu de obtinere a acestuia, Cerere brevet inventie, OSIM, A/00229, 28.03.2018.
2. Bogdan-Catalin Serban, Octavian Buiu, Cornel Cobianu, Nicolae Varachiu, Octavian Ionescu, Dragos Varsescu, Viorel Avramescu, Roxana Marinescu, Nicolae Dumbravescu, Senzor de umiditate pe baza de nanocompozite conductive electrofilate, Cerere brevet inventie, OSIM, A/00230, 28.03 2018.
3. Bogdan-Catalin Serban, Octavian Buiu, Cornel Cobianu, Octavian Ionescu, Dragos Varsescu, Roxana Marinescu, Nicolae Dumbravescu, Senzor chemirezistiv de etanol, Cerere brevet inventie, OSIM, A/00232, 28.03 2018.
4. Bogdan-Catalin Serban, Octavian Buiu, Cornel Cobianu, Octavian Ionescu, Dragos Varsescu, Roxana Marinescu, Nicolae Dumbravescu, Senzor de etanol si procedeu de obtinere a acestuia, Cerere brevet inventie, OSIM, A/00233, 28.03 2018.
5. Bogdan-Catalin Serban, Octavian Buiu, Cornel Cobianu, Octavian Ionescu, Dragos Varsescu, Roxana Marinescu, Nicolae Dumbravescu, Strat senzitiv pentru senzor de umiditate si procedeu de obtinere a acestuia, Cerere brevet inventie, OSIM, A/00231, 28.03 2018.
6. Bogdan-Catalin Serban, Octavian Buiu, Cornel Cobianu, Octavian Ionescu, Dragos Varsescu, Viorel Avramescu, Roxana Marinescu, Nicolae Dumbravescu, Strat senzitiv pentru senzor de etanol si procedeu de obtinere a acestuia, Cerere brevet inventie, OSIM, A/00228, 28.03. 2018.
7. Bogdan-Catalin Serban, Octavian Buiu, Cornel Cobianu, Avramescu Viorel Marian, Nicolae varachiu, Ionescu Octavian -Narcis, Dragos Varsescu, Marinescu Maria Roxana, Senzor chemirezistiv de etanol folosind straturi senzitive nanocompozite ZnO/ nanohornuri carbonice oxidate, Cerere brevet inventie, OSIM, A/00654, 05.09.2018.
8. Bogdan-Catalin Serban, Octavian Buiu, Cornel Cobianu, Avramescu Viorel Marian, Nicolae varachiu, Ionescu Octavian -Narcis, Dragos Varsescu, Marinescu Maria Roxana, Senzor de etanol, Cerere brevet inventie, OSIM, A/00653, 05.09.2018.
9. Cornel Cobianu, Bogdan-Catalin Serban, Octavian Buiu, Nicolae Dumbravescu, Marinescu Maria Roxana, Senzori diferentiali gravimetrici pentru detectia de compusi volatili organici emisi de plante si patogeni si procedeu de obtinere a acestor senzori, OSIM, Cerere de brevet: Nr. A/00576 din data de 09.08.2018
10. Cornel Cobianu, Niculae Dumbrăvescu, Bogdan Șerban, Viorel Avramescu, Octavian Buiu, Roxana Marinescu, Octavian Ionescu, Senzor chemirezistiv de etanol pe bază de nanocompozite de grafenă și oxid metalic, OSIM, Cerere de brevet Nr A/00873 din data de 06.11.2018
11. Bogdan- Catalin Serban, Octavian Buiu, Cornel Cobianu, Viorel Avramescu, Ionela –Cristina Pachiu, Narcis-Octavian Ionescu, Roxana Marinescu, Senzor chemirezistiv de umiditate pe baza de matrice compozite continand nanohornuri carbonice hidrofile
Cerere de brevet nr.A/ 01006 din data de 29- 11- 2018
12. Bogdan- Catalin Serban, Octavian Buiu, Cornel Cobianu, Viorel Avramescu, Narcis-Octavian Ionescu, Ionela –Cristina Pachiu, Roxana Marinescu, Senzor chemirezistiv de umiditate pe baza de nanocompozite carbonice
Cerere de brevet nr.A/ 01005 din data de 29- 11- 2018
Premii brevete:
Gold medal offered to IMT Bucharest, for 'Senzor chemirezistiv de etanol"- Bogdan-Catalin Serban, Octavian Buiu, Cornel Cobianu, Octavian Ionescu, Dragos Varsescu, Roxana Marinescu, Nicolae Dumbravescu, in recognition of high scientific contribution and loyalty to the XXII-th International Salon of research innovation and technological transfer, Inventica 2018, Iasi Romania, 27-29 June, 2018.
Gold medal, offered to IMT Bucharest, for 'Strat senzitiv pentru senzor de etanol si procedeu de obtinere a acestuia"- Bogdan-Catalin Serban, Octavian Buiu, Cornel Cobianu, Octavian Ionescu, Dragos Varsescu, Roxana Marinescu, Nicolae Dumbravescu, in recognition of high scientific contribution and loyalty to the XXII-th International Salon of research innovation and technological transfer, Inventica 2018, Iasi Romania, 27-29 June, 2018.
GOLD MEDAL for Bogdan-Catalin Serban, Octavian Buiu, Cornel Cobianu, Octavian Ionescu, Dragos Varsescu, Roxana Marinescu, Nicolae Dumbravescu, Senzor chemirezistiv de etanol, Institutul National de cercetare- dezvoltare pentru Microtehnologie – IMT Bucuresti, International Exhibition “Traian Vuia” Timisoara, 4th Edition, 13 – 15 June 2018
GOLD MEDAL for Bogdan-Catalin Serban, Octavian Buiu, Cornel Cobianu, Octavian Ionescu, Dragos Varsescu, Roxana Marinescu, Nicolae Dumbravescu, Strat senzitiv pentru senzor de etanol si procedeu de obtinere a acestuia, IMT Bucuresti, International Exhibition “Traian Vuia” Timisoara, 4th Edition, 13 – 15 June 2018
GOLD MEDAL for Bogdan-Catalin Serban, Octavian Buiu, Cornel Cobianu, Octavian Ionescu, Dragos Varsescu, Roxana Marinescu, Nicolae Dumbravescu, Strat senzitiv pentru senzor de umiditate si procedeu de obtinere a acestuia, IMT Bucuresti, International Exhibition “Traian Vuia” Timisoara, 4th Edition, 13 – 15 June 2018
SILVER MEDAL for “Chemiresistive humidity sensor”, Bogdan-Catalin Serban, Octavian Buiu, Cornel Cobianu, Ionescu Octavian, DragosVarsescu, 10th European Exhibition of creativity and Innovation, EUROINVENT 2018, 17 – 19.05, 2018, Iasi, Romania.
SILVER MEDAL for “Humidity sensor”, Bogdan-Catalin Serban, Octavian Buiu, Cornel Cobianu, Ionescu Octavian, DragosVarsescu, 10th European Exhibition of creativity and Innovation, EUROINVENT 2018 17 – 19.05, 2018, Iasi, Romania.
Diploma de excelenta si medalie de aur pentru “Senzorchemorezistiv de umiditate”, Cerere Brevet Inventie Nr. A01079, 11-12-2017, OSIM, Romania, Serban Bogdan - Catalin, Buiu Octavian, Cobianu Cornel, Ionescu Octavian-Narcis, Varsescu Dragos, 15th Edition of the International Exhibition of Research, Innovation and Inventions PRO INVENT 2018, 21 – 23 March 2018, Cluj Napoca, ROMANIA
- PN 18080202 - Dispozitive si circuite nanoelectronice avansate bazate pe materiale de grosime atomica
Scop:- Optimizarea procesului de crestere CVD a grafenei direct pe un substrat arbritar;
- Realizarea unor dispozitive si circuite nanoelectronice in care transportul este balistic (cuantic) la temperaturi apropiate de temperatura camerei;
- Fabricarea dispozitivelor electronice bazate pe grafena folosind noi subtraturi - materiale feroelectrice.
- Nanostructurarea grafenei (realizarea unor tinte pentru lasere de mare intensitate);
- Realizarea de dispozitive electronice avansate bazate pe alte materiale 2D (compozite pe grafena pentru ecranarea circuitelor de inalta frecventa precum comunicatiile 5G).
Rezultate: 3 articole ISI, 10 lucrari la conferinte; 6 tehnologii; 4 metode
Faza 1. Dispozitive electronice avansate bazate pe nanostructurarea grafenei
Dispozitivele grafenice, aşa cum este dioda self-swiching (SS), nu utilizează joncţiuni p-n. Rectificarea este una din funcţiile cheie în electronică şi se realizează prin simpla tăiere a grafenei în forme proiectate pentru a obţine o rectificare eficientă. În acest scop s-au realizat 2 noi procese tehnologice şi un flux de fabriacţie inovator cu randament mare > 80%.
 |
 |
Diode self-switching în grafenă. |
Tensiunea DC rectificată minimă la 26 GHz este 335 mV la o putere incidentă de -20 dBm (10 μW) şi este maximă la 0 dBm (1 mW) luând valoarea de 1.014 V. În intervalul de putere -20 dBm şi 0 dBm, responsivitatea ia valori în intervalul 1000-33480 V/W, în timp ce NEP ia valori în intervalul 7.27 - 240.27 pW/Hz0.5, la frecvenţa de 26 GHz
Faza 2. Creşterea de substraturi noi cu rugozitate mică pentru dispozitive electronice pe grafenă cu performante sporite
În tabel se prezintă rezultatele obţinute pentru materialele dezvoltate la această fază, rezultate care au fost îmbunătățite ulterior.
 |
 |
a b
Imagini AFM ale filmelor subţiri de Hf1-xZrxO2 (mixed) (a) si Hf1-xZrxO2 (laminate) (b) |
Faza 3. Dispozitive electronice avansate bazate pe grafenă transferată pe substraturi cu rugozitate mică
In cadrul acestei faze s-a dezvolat o memorie și un tranzistor FET pe grafenă/HfO2 dopat cu Zr feroelectric.
S-a obținut mărirea ferestrei de memorie de 20 de ori în structura GMFS față de MFS. În cazul tranzistorului s-a obținut o conductanță de 2mS .
Faza 4. Investigarea unor metode de optimizare pentru creștere a grafenei pe substrat compatibil CMOS
În cadrul acestei activități de cercetare, s-au efectuat studii experimentale în vederea obținerii unor filme de grafenă nanocristalină cu grosimi variabile pe substrat de Si/SiO2, care au fost supuse tratamentelor termice la temperaturi înalte în prezența unui catalizator metalic pentru a permite recristalizarea filmelor sub formă de grafenă multi-strat.
Pentru experimentele de grafitizare, peste probele de grafenă nanocristalină crescute la diferite grosimi, a fost depus un film de Ni prin pulverizare catodică în radio-frecvență (RF sputtering). Structura de filme astfel obținută a fost tratată la 1000 oC timp de 5 minute.
 |
În stânga, imagine schematică cu structura de filme folosită în timpul experimentelor de grafitizare, în dreapta imagine în secțiune a structurii. |
După tratamentul termic la 1000 oC, spectroscopia Raman arată că la suprafața filmului de Ni s-a format grafenă multistrat. Din spectrele caracteristice, se observă în principal prezența grafenei multistrat. Existența defectelor în grafena multistrat este confirmată de banda D și de banda D' situată la aproximativ 1620 cm-1. Lărgimea la semiînălțime a benzii G indică a bună cristalinitate a filmului. Din forma benzii 2D dată de două benzi principale, precum și din raportul intensităților I2D/IG, se confirmă prezența grafenei multistrat în configurație de mai mult de 5 straturi.
 |
Spectru Raman înregistrat pe suprafața filmului de Ni după tratamentul termic |
Faza 5. Ecranarea circuitelor si dispozitivelor electronice bazate pe nanocompozite grafenice (în lucru)
În cadrul aceste faze se urmărește implementarea unei metode de obținere a filmelor nanocompozite grafena/polimer prin dispersarea fulgilor de grafena în matricea polimerică, depunerea și transferul filmului compozit pe diferite substraturi pentru obținerea unei ecranări eficiente a dispozitivelor electronice în domeniul de banda X (8-12 GHz). Pentru aceasta se va realiza o metodă experimentală de preparare a nanocompozitelor grafenă/polimer utilizând ca precursor oxidul de grafenă, stabilirea parametrilor optimi pentru obținerea unei percolari eficiente a fulgilor de grafenă în matricea polimerică, obținerea unor filme subțiri cu grosime controlată și caracterizarea structurală și morfologică a filmelor obținute.
ISI
- M. Dragoman, A. Dinescu, and D. Dragoman, Wafer-Scale Fabrication and Room-Temperature Experiments on Graphene-Based Gates for Quantum Computation, IEEE Transactions On Nanotechnology, vol. 17 , 362-366, (2018). IF: 2.857
- M. Dragoman, A. Dinescu, D. Dragoman, Solving the graphene electronics conundrum: High mobility and high on-off ratio in graphene nanopatterned transistors, Physica E: Low-dimensional Systems and Nanostructures 97 (2018) 296–301. IF 2.399
- A.A. Muller, R.W. Ziolkowski, J. Kim, E. Blokhina, M. Dragoman, M. Bozzi, Tunable Devices for Modern Communications: Materials, Integration, Modeling, and Applications, IEEE Access 3, 42368-43373 (2018). IF 3.557
Lucrari
- M. Aldrigo, M. Yasir, S. Iordanescu, D. Vasilache, A. Dinescu, M. Dragoman, M. Bozzi, Graphene self-switching diodes for sub-millimetre wave harvesting applications, WOCSDICE 2018, Bucharest, Romanian Academy, May 2018.
- A. Cismaru, C. Obreja, M. Aldrigo, S. Iordanescu, B. Bita, M. Dragoman, Detection of CO2 using MWCNT-Based Sensors WOCSDICE 2018, Bucharest, Romanian Academy, May 2018.
- A. Avram, F. Comănescu, S. Vulpe, O. Simionescu, F. Năstase, R. Gavrilă, A. Dinescu, V. Țucureanu, A. Matei, B. Țîncu, M. Veca, C. Pachiu, O. Buiu, R. Popa, High Temperature Plasma Deposition Of Nanocrystalline Graphene Thin Films, IBWAP Constanta, Romania
- S. Vulpe, F. Nastase, A. Avram, O. Simionescu, C. Romanitan, R. Gavrila, B. Bita, A. Dumitru, Impact of thermal treatment upon morphology and crystallinity of titanium nitride thin films deposited by RF sputtering, WOCSDICE 2018, Bucharest, Romanian Academy, May 2018.
- A. Avram, F. Comănescu, S. Vulpe, O. Simionescu, F. Năstase, R. Gavrilă, A. Dinescu, M. Dănilă, V. Țucureanu, A. Matei, B. Țîncu, M. Veca, C. Pachiu, O. Buiu, R. Popa, Experimental investigations on Ni-catalyzed graphitization of PECVD deposited nanocrystalline graphene, WOCSDICE 2018, Bucharest, Romanian Academy, May 2018.
- S. Vulpe, F. Nastase, A. Avram, R. Gavrila, M. Danila, A. Dumitru, M. Dragoman, Atomic layer deposition of HfO2: Effect of growth substrate on morphology and surface properties of ultra-thin films, 12 International Conference on Physics of Advanced Materials - ICPAM 2018, September 22-28, 2018, Heraklion, Greece.
- M. Dragoman, A. Dinescu, and D. Dragoman, 2D materials nanoelectronics: new concepts, fabrication, characterization from microwaves up to spectrum (invited paper) EMRS, Strasburg, France, 2018.
- D. Dragoman, A. Dinescu, M. Dragoman, Configurations for quantum computing on graphene (invited paper) IWMP, Magurele, 2018.
- M. Dragoman, Atomically thin materials physics and devices: from flakes peeled with a scotch tape up to 4 inch wafers (invited paper), IBWAP Constanta, Romania.
- Mircea Dragoman, Nanoelectronics at the atomic scale: computing, harvesting, networking (invited paper), European Excellence in Nanotechnology (invited paper), Academia Romana, 6-7 Noiembrie, 2018.
Obiectiv 3 – Materiale, componente si sisteme pentru aplicatii biomedicale
- PN 18080301 – Platforme pentru senzori bio-chimici cu aplicatii in medicina si monitorizarea mediului
Scop: Dezvoltarea unor platforme pentru utilizarea in senzoristica, utilizand materiale / nanosisteme si nanotehnologii avansate, urmarind in principal imbunatatirea limitelor de detectie.
Rezultate: 1 studiu, 1 analiza comparativa, 1 procedeu tehnologic
Rezultate - noi proiecte H2020 acceptate la finantare in 2018
- IQubits- “Integrated Qubits Towards Future High-Temperature Silicon Quantum Computing Hardware Technologies”
(grant agreement preparation)
H2020-FETOPEN-2018-2019-2020-01, RIA (48 months, 498.250 euro for IMT)
IMT role: partner, Dr. Alexandru Müller
- NANOPOLY - “Artificial permittivity and permeability engineering for future generation sub wavelength analogue integrated circuits and systems”
(grant agreement preparation)
H2020-FETOPEN-2018-2019-2020-01, RIA (36 months, 259.000 euro for IMT)
IMT role: partner, Dr. Mircea Dragoman.
- NANOSMART-NANO components for electronic SMART wireless systems
(grant agreement preparation)
IMT role: partner, Dr. Mircea Dragoman.
- ENF2019- EURONANOFORUM 2019 - NANOTECHNOLOGY AND ADVANCED MATERIALS PROGRESS UNDER HORIZON2020 AND BEYOND
(grant agreement preparation)
H2020-IBA-LEIT-NMBP-Romanian-Presidency-2018, H2020- CSA (10 months, 100.000 euro)
IMT role: Coordinator: Dr. Adrian Dinescu
- CHIRON - Spin Wave Computing for Ultimately-Scaled Hybrid Low-Power Electronics
H2020 FET OPEN, Research and Innovation Actions- RIA, (call H2020-FETOPEN-1-2016-2017);
Project no. 801055, Duration: 2018-2021
Coordinator: Interuniversitair Micro-Electronica Centrum- IMEC, Belgium (Dr. Christoph Adelman)
IMT role: partner, Dr. Alexandru Müller
Rezultate - Lista de brevete
1 |
Strat senzitiv pentru senzor de etanol şi procedeu de obţinere a acestuia, B.Serban;
V.Avramescu;
O.Buiu;
C.Cobianu;
N.Dumbravescu;
O.Ionescu;
R.Marinescu;
D.Varsescu;
A-00228/28.03.2018 |
2 |
Senzor chemirezistiv de umiditate si procedeu de obținere a acestuia
B.Serban,
V.Avramescu,
O.Buiu,
C.Cobianu,
N.Dumbravescu,
O.Ionescu,
R.Marinescu,
N.Varachiu,
D.Varsescu,
A-00229/28.03.2018 |
3 |
Senzor de umiditate pe bază de nanocompozite conductive electrofilate
B. Serban;
V.Avramescu;
O.Buiu;
C.Cobianu;
N.Dumbravescu;
O.Ionescu;
R.Marinescu;
N.Varachiu;
D.Varsescu;
A-00230/28.03.2018 |
4 |
Strat senzitiv pentru senzor de umiditate şi procedeu de obţinere a acestuia
B.Serban;
V.Avramescu;
O.Buiu;
C.Cobianu;
N.Dumbravescu;
O.Ionescu;
R.Marinescu;
A-00231/28.03.2018 |
5 |
Senzor chemirezistiv de etanol
B.Serban;
V. Avramescu;
O. Buiu;
C. Cobianu;
N. Dumbravescu;
O. Ionescu;
R. Marinescu;
A-00232/28.03.2018 |
6 |
Senzor de etanol şi procedeu de obţinere a acestuia
B. Serban;
V. Avramescu;
O. Buiu;
C. Cobianu;
N. Dumbravescu;
O. Ionescu;
R. Marinescu
A-00233/28.03.2018 |
7 |
Senzor de presiune pentru medii ostile
G. Moagar;
C. Tibeica
A-00238 / 02.04.2018 |
8 |
Comutator termic pentru controlul fluxului de caldura
G Moagar;
V Moagar;
G Boldeiu
A-00575 /09.08.2018 |
9 |
Senzori diferențiali gravimetrici pentru detecția de compuși volatili organici emiși de plante și patogeni și procedeu de obținere a acestor senzori.
C.Cobianu;
B.Serban;
O.Buiu;
N.Dumbravescu;
R.Marinescu;
A-00576 /09.08.2018 |
10 |
Senzor de etanol
B.Serban;
O.Buiu;
C.Cobianu;
V.Avramescu;
N.Varachiu;
O.Ionescu;
D.Varsescu;
R.Marinescu
A-00653 /05.09.2018 |
11 |
Senzor chemirezistiv de etanol folosind straturi senzitive nanocompozite ZnO/nanohornuri carbonice oxidate
B.Serban;
O.Buiu;
C.Cobianu;
V.Avramescu,
N.Varachiu,
O.Ionescu,
D.Varsescu,
R.Marinescu
A-00654/05.09.2018 |
12 |
Senzor chemirezistiv de etanol pe baza de nanocompozite de grafenă și oxid metalic.
C.Cobianu;
N Dumbravescu;
B Serban;
V Avramescu;
O Buiu;
R.Marinescu;
OIonescu
In curs de depunere |
|