Rezultate
Rezultate 2012
Fabricarea si optimizarea structurilor SAW pe GaN utilizate ca senzor de temperatura [...]
- SAW devices characterization as temperature sensor in the range -65 ...+120 OC [...]
- Experimente de structuri SAW ca senzori de temperatura [...]
Rezultate 2013
Structuri noi de rezonatori SAW ca senzori de temperatura
In vederea optimizarii structurilor SAW, s-au efectuat mai multe loturi test. S-a redus lungimea digitilor la 100 μm, 50 μm si 20 μm, iar pentru fiecare lungime s-au folosit un numar variabil de digiti: 20, 100, 150, 200 (run 3). S-a analizat influenta acestor doi parametrii asupra frecventei de rezonanta si asupra factorului de calitate. Cele mai bune rezultate s-au obtinut pentru structuri avand 150 digiti de lungime 100 μm. Pentru aceasta structura frecventa de rezonanta este 5.43 GHz si factorul de calitate este Q = 286, comparative cu Q = 271 pentru structura avand 100 digiti de lungime 100 μm.

Parametrul S11 - caracterizarea “on wafer” pentru structura SAW mono-rezonator
S-au realizat masti noi avand diferite structuri de SAW single resonator, cu IDT-uri de latime 200nm, 150nm si 170 nm, si lungimi de 100µm si 50 µm. Structurile sunt interdigitate cu 150 digiti si 50 reflectori, plasati pe ambele parti ale IDT la diferite distante:
- 0.2 µm, 0.8 µm, 0.95 µm pentru 200 nm latime a digitilor IDT
- 0.15 µm, 0.6 µm, 0.7 µm for 150 nm latime a digitilor IDT
- 0.17 µm, 0.68 µm, 0.8 µm for 170 nm latime a digitilor IDT .

Foto Microscop Optic (lotul 4)

Imagine SEM cu un detaliu IDT (lotul 4)
-
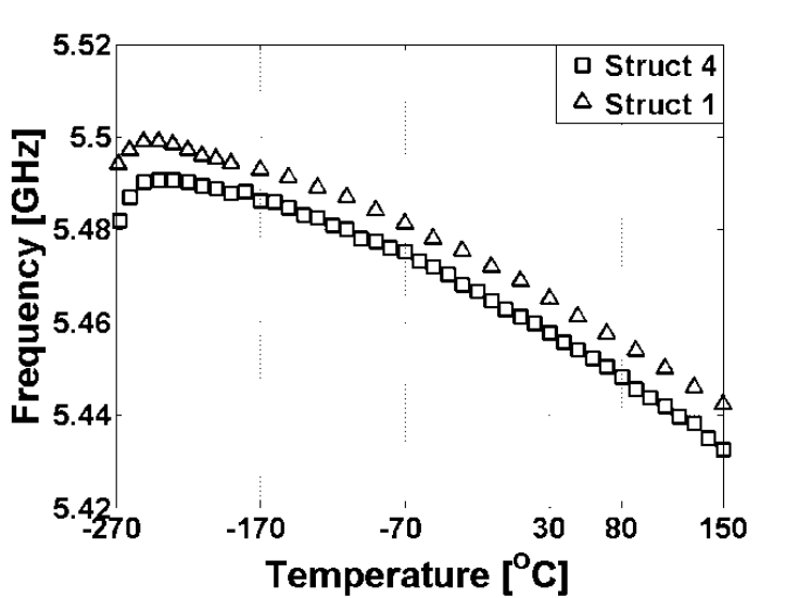
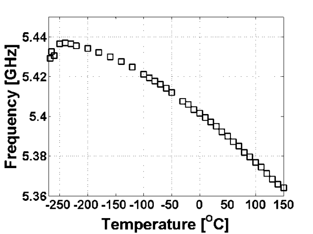
Caracterizarea structurilor SAW senzori de temperatura montate pe suport ceramic , in gama de temperatura 6-423 K
Senzorii de temperarura SAW pe suport ceramic au fost caracterizati si s-au facut masuratori ale variatiei frecventei de rezonanta cu temperatura in gama -268ºC- +150ºC folosind cryostatul SHI-4H-1 de la firma Janis Research, din dotarea laboratorului, capabil sa faca masuratori de la 5K la 500K.

(a) (b)
(a) Cryostaul; (b) fotografie a suportului ceramic cu dispozitivul SAW sensor de T
Variatia frecventei de rezonanta cu temperatura la cipuri cu SAW montate pe ceramica (lot 2), obtinuta din masuratori ale S11 de la -268 pana la 150 oC

Variatia frecventei de rezonanta cu temperatura la cipuri cu SAW montate pe ceramica (lot 2), obtinuta din masuratori ale S11 de la 20 pana la 150 oC

Variatia frecventei de rezonanta cu temperatura la cipuri cu SAW montate pe ceramica (lot 3), obtinuta din masuratori ale S11 de la -250 pana la 150 oC

Deoendenta frecventei de rezonanta de temperatura la cipuri cu SAW montate pe ceramica (lot 3), obtinuta din masuratori ale S11 de la 20 la 140 oC
Organizare workshop stiintific cu partenerii proiectului SMARTPOWER la conferinta CAS 2013 (eveniment IEEE)
In cadrul conferintei „International Semiconductor Conference CAS 2013”, eveniment IEEE organizat de IMT Bucuresti a avut loc workshopul stiintific dedicat proiectului SMARTPOWER- „Smart integration of GaN&SiC high power electronics for industrial and RF applications”.
Doua dintre lucrarile prezentate au fost ale grupului roman impreuna cu partenerii din proiect. Lucrarile prezentate la workshop au fost urmatoarele:
Lucararile prezentate:
- A Muller, G Konstantinidis, A Dinescu, V Buiculescu, A Stefanescu, A cismaru, I Giangu, A Stavrinidis, T Kostopuolos – „GaN SAW based temperature sensors”
- Lilei Ye, Murali Murugesan, Johan Liu – “Carbon fiber-metal based composite for thermal interface material application”
- V Buiculescu, I. Giangu, A Stefanescu and A Muller– “Temperature measurement using SAW resonators embedded within RF wired systems”
- B. Wunderle, C.-A. Manier, M. Abo Ras, M. Springborn, D. May, H. Oppermann, M. Toepper, R. Mrossko, T. Xhonneux, T. Caroff, W. Maurer, R. Mitova - "Double-Sided Cooling and Thermo-Electrical Management of Power Transients for Silicon Chips on DCB-Substrates for Converter Applications: Design, Technology and Test"
Rezultate 2012
Experimente de structuri SAW ca senzori de temperatura
- Experiments for SAW based temperature sensor
Structura de SAW realizata pe substrat de GaN si detaliu al nanolitografiei cu digiti si interdigiti de 200 nm.

Analiza interferometria in lumina alba (WLI) a structurii SAW



Fabricarea si optimizarea structurilor SAW pe GaN utilizate ca senzor de temperatura
S-au realizat structuri de SAW “face to face” cu 100 digiti avand inaltime 200 µm si 60 reflectori, distanta didit/interdigit de 200 nm, respectiv 130 nm. Metalizarea digitilor a fost TiAu de grosime 100 nm iar contactele au avut 350 nm TiAu grosime; s-au caracterizat “on-wafer”, s-au masurat parametrii S
Structura SAW (primul lot)

Masurare “on wafer” a parametrului S21 pt SAW avand distanta didit/interdigit 200nm

Structura SAW cu 100µm lungime IDTuri, latime 0.2µm; Distanta intre reflectori si IDTuri: d= 0.95µm; Q = 320 (lotul 2)



Imagini SEM cu detalii ale structurilor SAW pe GaN realizate prin nanolitografie


Caracterizarea dispozitivelor SAW utilizate ca senzor de temperatura in domeniul de temperatura -65 ...+120 OC
Variatia frecventei de rezonanta la temperaturi inalte pentru structurile SAW s-a determinat folosind parametrii S21 si S11. Structurile au fost incalzite pe “hot plate” si frecventa de rezonanta a fost masurata pe VNA (Vector Network Analyzer) la diverse temperaturi in domeniul 23o - 100o C .
Structura SAW si dependeta de temperatura frecventei de rezonanta obtinuta din S21


Structura SAW si dependeta de temperatura frecventei de rezonanta obtinuta din S11


Se prezinta dependenta de temperatura pentru frecventa de rezonanta obtinuta pentru S11 si caracterizarea “on wafer” pentru o structura SAW avand IDT cu 100 digiti/interdigiti si 100 µm lungime digit.

(b) Dependenta de temperatura a frecventei de rezonanta obtinuta din S11 Sensitivitate ~ 359.7 kHz/°C = 67 ppm /°C

Structuri cu metalizare de TiAu avand IDT cu 150 de digiti in lungime de 100 µm, si una cu Al, au fost testate si la temperaturi joase, pana la -100 OC. Rezultatele acestor masuratori sunt prezentate mai jos
Caracterizarea “on wafer” pentru structura SAW cu metalizare TiAu

Dependenta de temperatura a frecventei de rezonanta la temperaturi joase pentru structura SAW cu metalizare TiAu
